Skip to Main Content
A-
A
A+
हिन्दी
भारतीय भेषज संहिता आयोग
Indian Pharmacopoeia Commission
स्वास्थ्य एवं परिवार कल्याण मंत्रालय, भारत सरकार
Ministry of Health & Family Welfare, Government of India
Login
Menu
About Us
About IPC
Formation of IPC
Composition of IPC
Annual Reports
Minutes of Meeting (MoM)
Indian Pharmacopoeia Laboratory (IPL)
New Drugs Testing
Analytical Support for skill development & drug discovery
IPC BYE LAWS
Mission, Vision and Objectives of IPC
CITIZEN CHARTER
Message of the Hon'ble Union Minister of Health & Family Welfare and Chemicals & Fertilizers
Message of the Hon'ble Minister of State for Health & Family Welfare and Chemicals & Fertilizers
Secretary-cum-Scientific Director
Organisational Chart of Indian Pharmacopoeia Commission
Accreditation/ Certification
All Divisions
Administration
Analytical Research & Development (AR&D)
Biologics
Finance & Accounting
Budget
Cash & Accounts
Audit
Library & Information Division
Microbiology
Pharmacovigilance Programme of India (PvPI)
Phytopharmaceuticals
Pharmacology
Publication
Quality Assurance
Quality Manual of the IP Commission
Accreditation & Certification
Proficiency Testing Division
Training & Skill Development
Other Activities
Reference Standard
Supply Chain & Maintenance Management
List of Employees
Contact Us
Route Map of IPC
Social Media Accounts of IPC
Gallery
Virtual Tour of IPC
Photo Gallery
Audio Visual Gallery
Progress of ALRC
Press Release
News & Highlights
IPC in News & Media
MOU/Collaborations/Achievements
Expert Committees & Working Groups
Products & Services
Indian Pharmacopoeia (IP)
About IP
General Notices of IP
Indian Pharmacopoeia 2022
Indian Pharmacopoeia 2014 and its Addenda
Indian Pharmacopoeia 2018 and its Addenda
Guidance Document for Drafting and Formatting of Monographs for Indian Pharmacopoeia
IP Review Process
Stakeholder Comments
Draft New General Chapter / Monographs - For Comments
Amendments Proposed to IP 2022 - For Comment
Monographs Inclusion-Exclusion Criteria
Distribution Network for IP
Order IP
Proforma Invoice of IP Publication
Guidance Documents for Stakeholders
National Formulary of India(NFI)
About NFI 2021
Procurement of NFI 2021
Salient features of NFI
Contents List for NFI
Procurement of NFI 2016
Order NFI Online
NFI Monograph/Chapter/Appendices Development Checklist (Version 1)
Release of National Formulary of India 2021
National Formulary of India (NFI) 2021 - Amendment/Errata Lists
IP Reference Substances (IPRS) & Impurity
About IPRS
List of IP Reference Substances available at IPC, Ghaziabad
List of Impurities available at IPC, Ghaziabad
List of IP Phytochemical Reference Substances available at IPC, Ghaziabad
IP Prednisone Tablet (Dissolution Apparatus Calibrator) is available at IPC, Ghaziabad
List of Botanical Reference Substances available at IPC, Ghaziabad
IPRS Biologicals
Supply Order Form for IPRS and Impurity
Effective use of IPRS
Protocol of IP Prednisone Tablet for Dissolution Apparatus Calibration
Reference Microbial Cultures available at MTCC, Chandigarh
Order IPRS Online
IPRS COA
Impurity COA
Pharmacovigilance Programme of India (PvPI)
About Us
ADR Reporting Tools
Training and Education
Publications
PvPI Toolkit
News & Events
PvPI Outcome
Orders & Circulars
ADR Monitoring Centers & Enrollment form for New AMC
Haemovigilance Programme of India (HvPI)
Materiovigilance Programme of India (MvPI)
About Us
MvPI Toolkit
Resource Material
MDMC Updates
MvPI Internship Programme
MvPI enrolment form
SOPs
Skill Development
Analytical Services
Pharmacopoeial Harmonization
Orders & Circulars
Orders/ Circulars & Notices
Careers
ICMED Certification
Online Services
Indian Pharmacopoeia
NFI & Other Publications
IP Reference Substances
IPRS
Impurity Standards
Phytopharmaceutical Reference Substances
IP Prednisone Tablet
Supply Order Forms
Cough Syrup Testing-Export Sample
Tenders
Employees Corner
Application & Forms
RTI
COVID-19 Updates
Home
»
News & Highlights
»
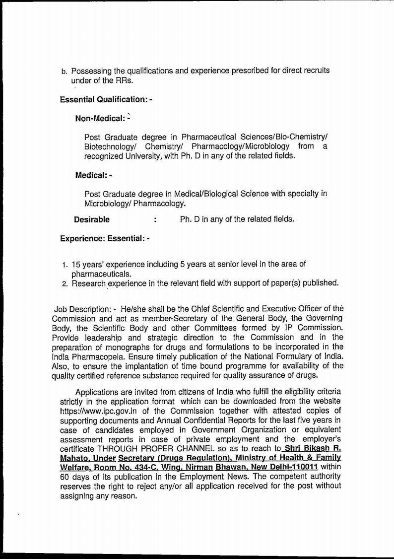
Vacancy Circular for the post of Secretary-cum-Scientific Director, Indian Pharmacopoeia Commission
Back
Vacancy Circular for the post of Secretary-cum-Scientific Director, Indian Pharmacopoeia Commission
Print
Last Updated: 20 November 2023
Click Here to download Advertisment & Application Form
News & Highlights
MoU signed between IPC and UP\u00a0 Pharmacy\u00a0 Council (UPPC) to promote rational use of medicines through NF
IPC, NCC-PvPI Concludes 5th National Pharmacovigilance Week with Valedictory Ceremony at Ghaziabad
Indian Pharmacopoeia Commission Observes 5th National Pharmacovigilance Week to Promote Responsible Reporting of Adverse Drug Reactions
Internship Opportunity: Materiovigilance Programme of India (MvPI)
International Webinar on "Strengthening Signal Detection and Risk Management Framework" on 18th September 2025
Notice regarding change of Venue for the Written Examination for the post of Scientific Assistant scheduled to be held on 13.09.2025
IPC Expands Helpline Number 1800-180-3024- Multilingual IVR System
Cancellation Notice, regarding recruitment for filling up one vacant post of Administrative Assistant in IPC which was advertised in Employment News edition dated 18th-24th January, 2025
Frequently Asked Questions (FAQs) about the Indian Pharmacopoeia (IP), IP Reference Substances (IPRS), and their compliance
Shortlisted candidates for the Written Examination for filling up one vacant post of Scientific Assistant on 13th September, 2025, Instructions to the Candidates and Recruitment Rules for the post of Scientific Assistant
Frequently Asked Questions (FAQs) about the Indian Pharmacopoeia (IP), IP Reference Substances (IPRS), and their compliance
Vacancy circular for filling up of the vacant post of Head Information Technology in Indian Pharmacopoeia Commission (IPC)
Vacancy circular for filling up of the vacant post of Marketing Executive in Indian Pharmacopoeia Commission (IPC)
Registration Open for the Two-Day Workshop on "Enhancing Pharmacopoeial Standards and Safety Reliance through Scientific Publications| 28–29 August 2025 |
Free Webinar on updates of Indian Pharmacopoeia (IP) and IP Reference Substances (IPRS)
Registrations are open for the inaugural ceremony of the 5th National Pharmacovigilance Week celebration on 17th September 2025 at Auditorium 2, Bharat Mandapam - Convention Centre, New Delhi.
National Stakeholders' Conclave on Materiovigilance and In-Vitro Diagnostics (IVD) Safety on 3rd September 2025" at Advanced Level Research Centre (ALRC), Indian Pharmacopoeia Commission (IPC)
Free Webinar on Discover & Unlock Exclusive Access of Indian Pharmacopoeia (IP)
National Medical Commission Directs Medical Colleges to Establish Adverse Event Committees in Coordination with IPC under MvPI.
PT Round-02, 2025 Registration Form
Walk-in interview for the posts of Pharmacopoeial Associate & Senior Pharmacopoeial Associate
Walk in interview for the post of Jr Pharmacovigilance Associate
Application are invited for 34th Skill Development Programme on Pharmacovigilance scheduled from 18th to 22nd August 2025.
Clarification on impurity limits published in the Indian Pharmacopoeia (IP)-reg
Vacancy circular for filling up of the vacant post of Jr Materiovigilance Associate in Materiovigilance Programme of India, Indian Pharmacopoeia Commission (IPC)
Publication of Monographs on 'Prussian Blue Insoluble' and 'Prussian Blue Insoluble and Magnesium Hydroxide Capsules' in the IP 2022-reg.
Call for Internship in Pharmacovigilance at NCC-PvPI
Corrigendum regarding the Commission’s advertisement for seven posts of Scientific Officer
Filling up vacant 07 posts of Scientific Officer, Group “A” (03 UR & 01 OBC Direct Recruitment basis and 03 Deputation/(ISTC) Basis) in Indian Pharmacopoeia Commission, Ghaziabad
Filling up vacant 07 posts of Scientific Officer, Group “A” (03 UR & 01 OBC Direct Recruitment basis and 03 Deputation/(ISTC) Basis) in Indian Pharmacopoeia Commission, Ghaziabad
View All
IPC Products
Search
Buy
PvPI
(Pharmacovigilance Programme of India)
Connect with IPC